у 99% книг всего 1 читатель в день!!! Анализ статистики АТ от Алекса Кимена
Автор: Алекс КименРабота над таблицей по анализу топ18 популярных книг, который я опубликовал вчера https://author.today/post/126197
и где наметилось несколько очень любопытных тенденций, заставил меня задуматься о таком параметре, как часы чтения
. Я заметил, что у топовых бесплатных книг он чрезвычайно высок, так что я решил рассчитать, сколько же времени остается остальным книгам. И результат меня чрезвычайно расстроил.
Если говорить коротко, то вывод моего исследования таков:
Более 99% книг на АТ имеют 1 читателя в день!!! Так что если ваша книга не входит в топ500 по популярности за месяц (а это касается 58 806 книг) - поздравляю, статистически у вас всего 1 читатель в день и 14 минут чтения.
Как же я пришел к такому выводу?

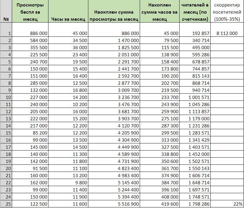
Для начала посмотрим статистику самых популярных бесплатных книг. Подробно, я их анализировал ранее, поэтому сейчас, я просто собрал в таблицу число просмотров и часов чтения. И вот что получилось:

Как видно, в сумме всего 25 самых популярных книг, собирают 419 000 часов чтения!
Это, безусловно много, но насколько это много?
Чтобы осознать масштаб этих цифр обратимся к сервисам анализа сайтов. Первые два выданные гуглом, дали мне почти одинаковый результат и я решил отталкиваться от него:


Как можно заметить, оба сервиса предполагают, что у АТ 12 480 000 просмотров в месяц и порядка 35% отказа. При этом среднее время нахождения на сайте - 14 минут.
В принципе, такие параметры - очень хорошо вписываются в логику работы АТ: Читатель заглядывает на сайт в поисках проды и в 35% случаях ее не находит и закрывает сайт. Средняя прода 15 000 знаков и на ее прочтение читатель тратит 14 минут.
Но какие мы можем сделать выводы?
Во-первых, мы можем скорректировать число читателей 12 480 000 * 0,75 = 8 112 000 - реальных посетителей (число авторов тут статистически незначимо) каждый из которых проводит на сайте 14 минут.
А теперь... ТАДАМ!!! Считаем сколько 14 минутных сессий включено в 419 600 часов просмотра.
419 600 * 60 /14 = 1 798 286 читательских сессий. Что составляет 22% от 8 112 000
А это значит, что всего 25 самых популярных книг на АТ получают более 20% всего читательского трафика!!!
Дальше больше...
Впечатлившись этими цифрами я решил глянуть, сколько трафика собирает топ500. В ручную эти данные собрать нереально. Писать скрипты мне было лень. Поэтому, я собрал данные с шагом 25 позиций и сварганил в экселе несколько регрессионных моделей. Если вы не разбираетесь в статистике, то вам это неинтересно, а если разбираетесь - сможете сделать это не хуже меня.
Для любопытных покажу результат:

Как видно, модели относительно корректно описывают данные на разных участках. Тем более, что самый весомый участок вбит вручную, а не экстраполирован.
Краткий итог. Несколько моделей показали примерно одинаковые цифры, из которых следует, что топ500 бесплатных книг по популярности за месяц получают порядка 6 300 000 читательских сессий по 14 минут.
Заметьте, что я исключил из расчетов топ100 платных книг, а среди них тоже есть очень впечатляющие результаты.
Считаем дальше:
8 112 000 - 6 300 000 = 1 812 000 читательских сессий по 14 минут, которые остаются 59 306 - 500 = 58 806 книгам на АТ.
А это значит, что на одну книгу приходится в среднем 31 читательская сессия в месяц или 1 в день !!!
При этом, следует учесть, что и это распределение далеко не равномерно. Если к этим цифрам добавить топ500 платных книг и вычесть нашу с вами писательскую активность в блогах, останутся сущие крохи...
Причем, повторюсь, речь идет о "среднем по палате". Из-за асимметрии распределения реальность еще хуже.
Предположим, что на 501 месте по популярности идет книга с 748 часами прочтения в месяц. А это значит, что у нее 3 205 (=748*60/14) читательских сессий в месяц, а значит 105 книг в конце рейтинга вообще лишились читателей на целый месяц. И т.д. и т.д.
Какой из этого вывод? Ну... я думаю, каждый сделает свой.