Сказ об образцах, проигранном споре и науке (ака графеновый лифчик)

Автор: Валеда Сонварина

Блог написан в связи с проигранным спором. Изначальный спор можете посмотреть здесь. Сразу скажу, будет многобукв, физика, сложные термины и убивающая с одного удара матчасть. Кривая попытка научпопа. И “один день из жизни аспиранта”. 

Итак, Каджит попросил меня рассказать, чем я вообще занимаюсь, при этом понятным языком. Обычно я это делаю, когда мне тот же вопрос задают в поезде или бывшие одноклассники. Собеседник от слова совсем не физик, слово “нанотехнология” вызывает в нем праведный трепет, а глаза аккуратно стекленеют при упоминании слова “аспирантура”. Но обычно я всегда справляюсь, аккуратно следя, на каком слове я этого собеседника теряю. Вживую это значительно проще. Сегодня попытаюсь сделать это в тексте. 



Двухмерные материалы
И так, дамы и господа, слышали ли вы когда-нибудь про графен? Кто-то наверное в зале слышал. Да, я там вижу как кто-то возмущается. А вон там явно кто-то вообще не в курсе. Сэр! Идите сюда! Не уходите из зала, у меня картиночки есть!

И так, все те, кто не знают о графене. Вспомните обычный карандаш и его грифель. Знаете из чего этот грифель состоит? Из графита. И знаете почему он так хорошо пишет по бумаге? Потому что графит материал состоящий из тонких слоев. Внутри слоя атомы друг друга за лапки крепко держат и не хотят расставаться. А вот между слоями никто за лапки не держится. Поэтому два слоя отделить друг от друга, раз плюнуть. Выглядит это на атомной шкале примерно вот так:



Так что такое этот графен? Графен это один такой слой графита, толщиной в один атом. То есть безумно тонкий. Тоньше почти и не бывает. 

В свое время двое ученых, Гейм и Новоселов, русских по национальности, но работающих в Великобритании (о да, это британские ученые, только правильные, а не те, что из анекдотов) получили за графен Нобелевскую премию. Они смогли отделить слой графена на редкость простым способом. Взяли обыкновенный кусок скотча, наклеили на него карандашный грифель, а потом этот кусок скотча наклеили на самый стандартный кремниевый образец. В нанотехнологии все такими пользуются. Они дешевые. Не зря кремний самый используемый материал в электрических приборах. Выглядит такой образец вот так:



В общем, наклеили ученые свой скотч на такой образец. Под оптическим микроскопом легко можно было обнаружить небольшие куски графена.  В 2004-ом вышла статья в Nature. И это статья открыла целый новый пласт науки в нанотехнологиях.


Вы спросите почему? Что такого интересного в тонкой пленке карандашного грифеля? А вот оказалось, что есть. Что с электрической точки зрения (как хорошо он проводит ток), что с механической (как он гнется под давлением), что с теплопроводной (как хорошо проводит тепло), что с оптической (как поглощает свет и как атомы на этот свет реагируют) графен оказался совершенно другим, нежели его толстый братец графит. 

Около пяти лет длилась золотая лихорадка. Все хотели померить графен. По словам одного из моих коллег, который работал над графеном как раз в это время: “Если ты сегодня только придумал какой можно поставить эксперимент, то завтра уже об этом выходила статья кого-то другого, кто это уже успел померить, но не успел опубликовать”. 

Вместе с экспериментом над графеном очень быстро начали мерить другие материалы. Нашлась целая семья разных материалов, которые тоже состояли из таких слоев и легко доводились при помощи скотча до монослоя (слоя из одного атома толщиной). Все эти материалы получили название “двухмерные”. 


Прелесть этих материалов?

  1. Они малоразмерные, их можно использовать для плоских мобильников, экранов и солнечных панелей. 
  2. Они мечта любого теоретика, ибо являются идеальными двухмерными системами там, где раньше можно было померить только трехмерные. А двухмерные системы на порядок легче просчитать. Впервые за много лет множество моделей созданных еще в начале 20-го века можно было проверить на практике.
  3. Они принципиально по-другому себя ведут, нежели их толстые собратья (графен отличается от графита). Часто улучшаются электрические и оптические свойства на несколько порядков. Так, графит полупроводник, а графен металл. 
  4. Часто их свойства зависят от количества слоев. Один слой ведет себя иначе, чем два и, тем более, три. Поэтому некоторые свойства можно подогнать, варьируя количество слоев.. Например оптический диапазон, в котором ваша солнечная панель впитывает энергию света. 
  5. Внутри слоя (не поперек!) они очень крепкие и у них высокий порог механического стресса. Поэтому из них можно создавать гибкие солнечные панели и экраны. Свернул в трубочку и пошел. 



Термотранспорт
Ну хорошо, люди меряют эти ваши двухмерные материалы. Особенно графен. А вы, госпожа Валеда, вообще что делаете? Хороший вопрос, сэр! Правильно вы остались! 

Я измеряю у этих двухмерных материалов теплопроводность и температуропроводность. Кого позвать? Ну сэр, ну подождите, я сейчас все объясню, не уходите из зала!

Во-первых теплопроводность. Грубо говоря, этот коэффициент показывает, как хорошо материал проводит тепло. То есть, если я возьму длинный столб из этого материала, нагрею один его конец до 100 градусов цельсия, сколько градусов я получу на другом конце? Если скажем 99 градусов, то этот материал хорошо проводит тепло. Его можно скажем хорошо использовать для охлаждения процессора в вашем мобильнике или компьютере. А если скажем на другом конце температура вообще не изменится (условные 0 градусов, исходя из того, что 100 это разница с окружением), то материал наоборот хороший термоизолятор. Из него хорошо строить стены дома, чтобы зимой не остывал. Или свитера вязать. Или носки. Крыс, специально для тебя, лифчики делать! 



Во-вторых температуропроводность (кто вообще по-русски эти названия придумывал, совсем мою публику запутал). Это не то, сколько в конечном счете будет разница в температуре между двумя концами моего столба, а то как быстро я с той стороны доберусь до нужной мне температуры. То есть, если в конечном счете другой конец должен стать 99 градусов, сколько времени мне надо ждать, чтобы он реально стал 99 градусов, а не 5 и не 80? Секунду? Минуту? Как быстро (или медленно) нагревается ваш материал важно для эффективности и скорости охлаждения. Если ваш процессор уже нагрелся, хочется, чтобы его охладитель тоже быстро среагировал, а не час доходил до нормы. 

Я вас еще не потеряла своими заумными словами? Так вот, когда все рванули мерять графен, ему померяли все, включая и тепловые свойства. А вот другим материалам повезло меньше. Им в основном мерили оптические и электрические свойства. Поэтому я в своем проекте пытаюсь восполнить эту дыру. 

Зачем? Ну представьте себе. У вас тонкий, плоский мобильник, в котором вся техника на основании двухмерных материалов, делая ваш мобильник гибким и легко сворачивающимся в трубочку. Электрические элементы-то все подберут, а вот что делать с охлаждением этих элементов, когда те начнут нагреваться? Вот именно! Тут-то и приходят на помощь, как Чип и Дейл, Валедины материалы. Ибо чтобы найти правильный термопроводник для охлаждения этого крутого мобильника, нужно сначала найти этот проводник. 


Образцы
Ну хорошо. И как это вообще работает? А ну, это товарищи, почти просто. Почти. 

Для начала мы берем образец. Выглядит он примерно вот так:



Это типа вид сбоку. Схематичное изображение. У нас есть рама (как оконная) из кремния (Si). Поверх нее лежит мембрана из нитрита кремния (SiN). Это как стекло в окне. В этом стекле мы делаем дырку. А потом накрываем дырку двухмерным материалом. На этой конкретной картинке (и в моих нынешних образцах) гексагональный нитрид бория (h-BN). Поверх слоя материала кладем золотую полоску (Au/Ti). 

Золотая полоска это важно. Она очеееееень длинная. Очееееень узкая. Очеееень тонкая. И поэтому, когда мы сквозь нее пустим ток, электронам через нее будет не протолкнуться. Ну это как запустить толпу школьников в узкий длинный коридор. Бежать они не смогут, только толкаться. А что происходит, когда электроны толкаются? Правильно. Они создают тепло. Сэр? Вы не знали об этом? Не расстраивайтесь, теперь будете знать. 

В результате наша золотая полоска нагревается. Очень нагревается. И середина материала оказывается нагрета, а вот концы, которые соприкасаются со стеклом нашего окна нет. Транспорт тепла выглядит примерно вот так (вид сверху):



Помните я вам рассказывала про температуропроводность? Которая не сколько градусов, а как быстро эти градусы добегут? Представьте себе, что я не просто пускаю ток (который греет полоску), а все время включаю и выключаю этот ток. Для умных в зале - использую переменный ток. Так вот, если я МЕДЛЕННО включаю и выключаю, то тепло успевает добежать до другого конца материала. И как бы весь материал участвует в процессе. А если я начинаю это делать слишком БЫСТРО, то материал не успевает за мной. Тепло сначала почти добегает до края, потом только до половины, и наконец вообще никуда не бежит. Не успевает. 


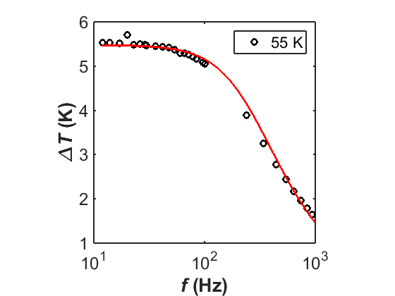
Выглядит такой измерение вот так:


На горизонтальной шкале (она же икс) нарисована частота моего тока в герцах. То есть как быстро я его включаю-выключаю. А на вертикальной шкале (она же игрек), нарисована разница в температуре полоски и ее окружения в кельвинах. Как видно из графика, сначала у нас идет почти постоянная разница в температуре. А потом она резко начинает падать, потому что я увеличиваю мою частоту. Где-то на 50 герцах начинается спад. 

Так вот, по тому сколько градусов разницы у меня получится в первой части графика я могу сказать, какая у моего материала термопроводность. То есть насколько хорошо он как термопроводник и охладитель для моего гибкого мобильника. А то, как быстро моя разница в температуре будет падать и на какой частоте она начнет это делать, говорит мне какая будет температуропроводность. То есть как быстро мой материал соображает, что его вообще греют или остужают. 


Но это я все круто рассказываю про графики всякие, измерения. На самом деле померяла я за всю свою аспирантуру 1.5 настоящих образца. Остальные пошли в мусорку, не доживя до измерений. Поэтому я в основном оптимизирую процесс создания этих образцов. 

Как я их вообще создаю? Что приходится делать? Сэр, я понимаю, вы уже устали, но вы ведь понимаете, что спор был об этом, а не о Нобелевской премии. Я обещала Каджиту рассказать, как это работает. Я вкратце, честное слово!


Выглядит это примерно так:


1. Рамы со стеклом, они же “мембраны”, я просто покупаю. Их создают в огромном количестве и присылают мне коробку с 100 штук. Стоит такая коробочка примерно 1000 евра. То есь по 10 евра за штуку. 

2. Затем, я рисую золотом на такой мембранке (на стекле) маркеры (золотые крестики). Не буду вникать в подробности, но нужны мне эти маркеры для того, чтобы позже нарисовать уже свою золотую полосочку ровно посередине моей дырки в стекле, а не где-то в произвольном месте.

3. После создания маркеров, я делаю в мембране (в стекле) дырку (синий прямоугольник). Дырка нужна, чтобы я мерила только материал, а не материал+мембрана. Поэтому мне нужен кусок материала, где он ни с чем не соприкасается. 

4. После дырки я ищу подходящий кусочек материала и наклеиваю его поверх дырки. 

5. Затем рисую на материале свою очееееень узкую и очееееень длинную полосочку и контакты. 

В конце это выглядит вот так:

После этого пришиваю контакты на образце (на раме) алюминиевой ниткой к так называемому холдеру - специальному держателю для образца. Такой нужен, чтобы к образцу можно было подключить приборы. 

Ну вот, описала парой фраз. Думаете это все два дня работы? Как бы не так. Все может пойти не так. Все! Специально для Каджита, финал. Ответ на вопрос, что может пойти не так. Сэр! Я обещаю, это последний параграф! 


Что может пойти не так?

  • Маркеры могут не нарисоваться на стекле и выйти кособокими уродцами
  • Дырка может сломать всю мембрану (разбить стекло)
  • Можно не найти подходящий кусок материала, все будут либо слишком толстыми, либо слишком маленькими, либо просто не одной толщины, а этакой лестницей из нескольких слоев. Сюда же кусочки с складками и трещинами. 
  • Во время наклеивания материала, кусочек может не приклеиться
  • Во время наклеивания, если слишком сильно надавить на мембрану (стекло), она сломается
  • Во время наклеивания, кроме нужного куска материала на мембрану (стекло) могут попасть другие ненужные куски, которые будут мешать позже, не оставив места для контактов к моей полосочке
  • После наклеивания, во время рисования контактов, материал все равно может отклеиться и уползти восвояси с криком “я с тобой больше не играю”
  • Кусок материала может порваться
  • Во время измерения, если шибануть образец статическим электричеством, полосочка от переизбытка чувств (и тока) может расплавиться и превратиться в бусики. Бусики ток не проводят
  • Нарисованные контакты и полосочка тоже могут не получиться и выйти кособокими уродцами


Представьте себе какова вероятность каждой из этой неудач и вы поймете, почему у меня за 3 года получилось померить всего 1.5 образца. Каждую из этих проблем я решала и оптимизировала к ней решение. Некоторые проблемы исчезли, некоторые до сих пор иногда происходят. 


Все! Все! Сэр, можете идти! Пожалуйста не кидайтесь помидорами! Честное слово, я больше не буду писать таких длинных постов! Не буду! Ни за что! И спорить с Каджитом тоже не буду! 

Ах да, здесь Гайм отрицает, что лифчик был из графена:

+70
1 233

0 комментариев, по

220 311 205
Мероприятия

Список действующих конкурсов, марафонов и игр, организованных пользователями Author.Today.

Хотите добавить сюда ещё одну ссылку? Напишите об этом администрации.

Наверх Вниз