Короли дедлайна, или занимательная статистика долгостроя "Рутеи"
Автор: Андрей СкоробогатовИтак, вчера благодаря проходящему конкурсу "Фантастический прорыв" и дедлайну, пришедшемуся на 2 часа ночи по уральскому времени, я закончил труд, над которым трудился то ли 6, то ли 16 лет - роман "Рутея", первый (но сюжетно абсолютно самостоятельный) роман из цикла про Сеяных, Одиннадцать планет и новую Солнечную Систему.
Немного хронологии событий:
2001 год (13 лет) - создана карта первого мира из цикла про Сеяных и определено их фантдопущение. Тогда и мир, и Сеяные назывались по-другому, сначала это был терраформированный Марс, потом вообще параллельная вселенная, но сама идея о династиях суперспособных существ, произошедших от людей, чего-то среднего между местечковыми богами, магами и джедаями, возникла именно тогда.
2005 год - Работа в эти годы шла больше над разработкой и модификацией сеттинга. После нескольких неудачных попыток писать что-то из цикла про Сеяных в тетрадках, нарисована карта вот этого мира: 
Разумеется, очертания континентов, особенно Большого Северного, после несколько корректировались, менялось расположение и границы ведущих мировых держав и их происхождение (сначала между Землёй и Рутеей была ещё одна промежуточная планета, потом в силу упрощения сеттинга от неё пришлось отказаться).
2007 или 2008 год - первая попытка написать роман в этом сеттинга, про студента, который в чём-то похож на главного героя нашего романа, но намного моложе, максималистичней и смешнее. Позднее его образ перекочевал в образ Рэда.
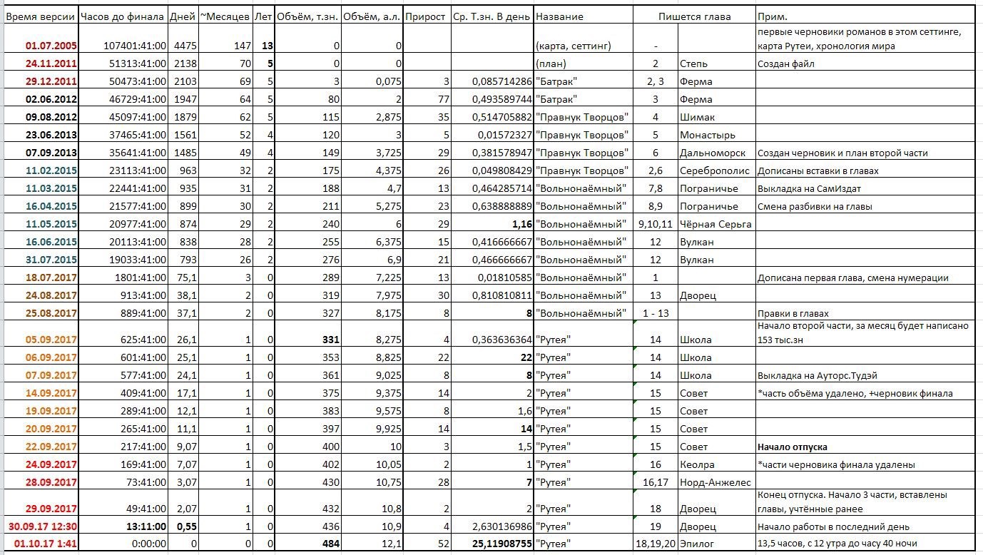
Дальше информация сведена в табличку:

(среднее число знаков в день приблизительно, учтены только разовые "рывки", часто перерывы достигали недель или даже месяцев, оттого такие маленькие цифры)
2011 год - Написана первая сцена, первые страницы про ковыльную степь. Ковыль, который вырастает и цветёт у нас ближе к концу лета, всегда казался мне какой-то небольшой жизненной вехой, серединой года, когда уже, как и в новом году, можно подводить определённые итоги. Мне показалось, что это удачный образ. К сожалению, я переключился с этого романа на другой сеттинг и написал за год всего два авторских листа
2012 год - работа над романом практически не велась, написана одна глава, около 30 тысяч знаков.
2013 год - написан авторский лист, переработан план произведения и написан черновик (около 1 а.л.) начала второй части, позже на 90% удалённый и переписанный.
2014 год - работа не велась
2015 год - за четыре месяца написано три авторских листа. Практически закончена первая (основная) часть произведения
2016 год - работа практически не велась, писался роман "Космофауна", у "Рутеи" были дописаны всего пара строк и подправлен сеттинг
2017 год:
- конец июля - написан пролог
- август - дописана первая часть, включая её часть, перекочевавшую затем в начало третьей.
- сентябрь - начата работа над второй и третьей частями, за три недели написано суммарно три авторских листа, из них
- последняя неделя - я нахожусь в отпуске, написано суммарно два авторских листа, из них
- последний день, 13,5 часов до дедлайна - 49 тысяч, не считая мелких правок в середине
Первый файл романа был создан 24.11.2011 года, точка в романе была поставлена в 01.10.2017 1:41 по уральскому времени, за 19 минут до дедлайна конкурса.
График килознаков по времени (общий и среднее число в день в масштабе 1:10), общее и в последнюю неделю:
Я понимаю, что всё это не повод для гордости, и что из-за спринтерского забега в конце у меня почти не осталось времени на нормальную вычитку и редактуру произведения, но всё равно задача-минимум - дописать роман, над которыми так долго велась работа - выполнена, чему я безумно рад.